Dưới đây là gợi ý đáp môn Toán do các thành viên của GSTT Group thực hiện (gồm Vũ Huy Hùng - thủ khoa Kinh tế Quốc tế - Đại học Ngoại thương, Trần Chí Kiên - giải nhì quốc gia Toán 2013, Mai Văn Chinh - 2 điểm 10 môn toán duy nhất kỳ thi ĐH 2012, Lương Văn Thiện - giải ba quốc gia môn Toán 2010, Tống Quốc Kỳ - Thủ khoa HV Bưu chính Viễn thông 2012).
THÍ SINH TẢI FILE GỢI Ý ĐÁP ÁN tại đây.
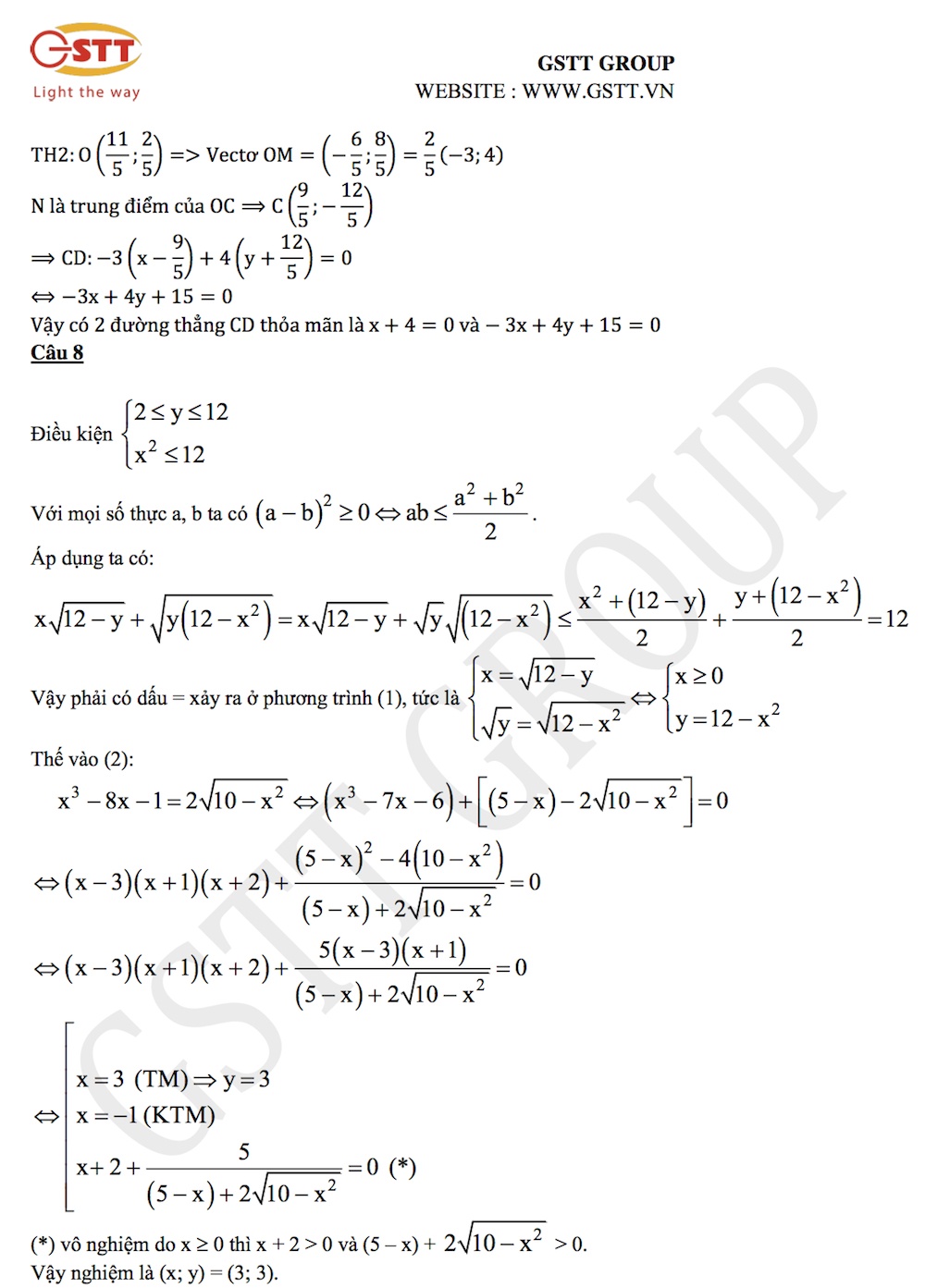
Xem cách giải khác của câu hỏi hóc búa trong đề Toán tại đây.
Hoặc xem chi tiết:
![]() |
![]() |
![]() |
![]() |
![]() |
![]() |
![]() |
![]() |
Về đề thi Toán năm nay, bạn Tống Quốc Kỳ (Thủ khoa HV Bưu chính Viễn thông 2012) cho biết, cấu trúc có sự thay đổi. Không có phần chung và riêng, đề thi đảo phần số phức lên trước. Phần tính diện tích hình phẳng khá mới lạ.
Thầy Lại Tiến Minh (giảng viên ĐH Kiến trúc Hà Nội, giáo viên trường THPT Lương Thế Vinh, Hà Nội) nhận xét: "Đề thi năm nay dễ hơn hẳn so với mọi năm, do đó khó phân loại được thí sinh trung bình khá và thí sinh khá. Trong đó, câu 1-6 tương đối dễ, không đánh đố, đa phần học sinh có thể làm được. Còn câu 8, 9 khó hơn, giúp phân loại thí sinh giỏi.
Đa số các câu trong đề thi nằm trong phần kiến thức lớp 12. Tuy nhiên vẫn có câu 4 thuộc phần xác suất của lớp 11; câu 7, 8, 9 thuộc chương trình lớp 10 nhưng học sinh hoàn toàn có thể giải bằng phương pháp của lớp 12.
Năm nay, đề thi có sự khác biệt, không chia ra hai phần chung - riêng, cho phép thí sinh được lựa chọn như trước. Tuy nhiên, học sinh học lực trung bình khá vẫn có thể dễ dàng đạt 5-6 điểm, khá đạt 7-8 điểm".
Đề thi môn Toán:
![]() |
| |








