Theo nhà vật lý thiên tài người Anh, muốn gặt hái thành công tại kỳ World Cup lần này HLV Roy Hodgson cần phải áp dụng chiến thuật 4-3-3 cho tuyển Anh. Chưa hết, đội bóng phải mặc áo đỏ khi thi đấu trong khi những người có mái tóc vàng sẽ thực hiện những quả đá penalty.
Hawking nhận định, nếu thi đấu trong màu áo đỏ, tỉ lệ chiến thắng trong một trận đấu của tuyển Anh sẽ tăng thêm 20%. Đây là nhận định hoàn toàn có cơ sở, bởi màu đỏ sẽ giúp con người cảm thấy tự tin vầ hưng phấn hơn, tinh thần thi đấu cũng cao hơn.
![]() |
| Nhà vật lý Hawking mất khá nhiều thời gian để tìm ra công thức chiến thắng cho tuyển Anh tại World Cup 2014. |
Giám đốc nghiên cứu tại Trung tâm Vũ trụ học lý thuyết thuộc Đại học Cambridge cũng chỉ ra tỉ lệ chiến thắng trong mỗi trận đấu của tuyển Anh là 63% nếu được điều hành bởi một trọng tài ở châu Âu. Còn nếu các trọng tài ở ba lục địa còn lại cầm còi, cơ hội chiến thắng của Tam sư chỉ còn 37%. Nhà vật lý Hawking cũng cho rằng sự có mặt của các WAGs tại VCK World Cup là “không thích hợp”.
Vài nét về Stephen Hawking
Hawking sinh ngày 8/1/1942, là một nhà vật lý lý thuyết, vũ trụ học. Hiện ông là Giám đốc Nghiên cứu tại Trung tâm Vũ trụ học lý thuyết thuộc Đại học Cambridge. Hawking là người đầu tiên khởi đầu một nền vũ trụ học dựa trên sự thống nhất giữa thuyết tương đối tổng quát và cơ học lượng tử.
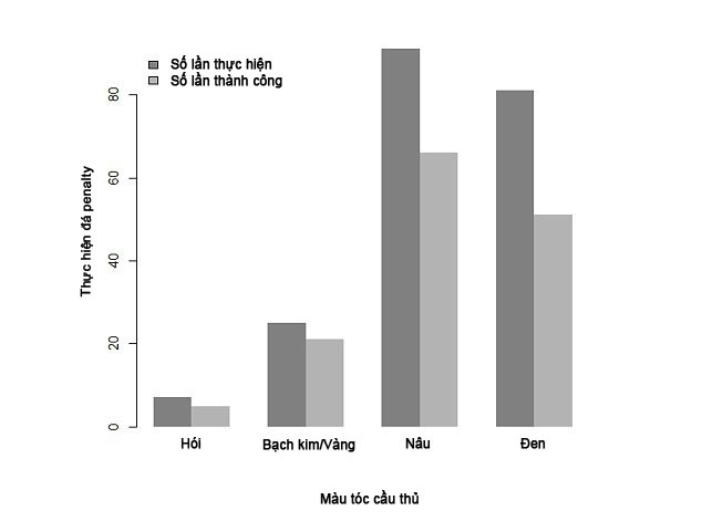
Về việc thực hiện những quả đá penalty, Hawking cho rằng đây là nhiệm vụ của các tiền đạo. Tuy nhiên, không phải tiền đạo nào cũng có thể thực hiện. Khả năng thành công cao chỉ xảy ra khi những tiền đạo đó có mái tóc vàng hoặc hói. Ông Hawking khẳng định đây là sự “huyền bí của khoa học” mà chưa thể giải thích được.
“Là một nhà vật lý, tôi nghĩ mình có đủ bằng chứng và cơ sở khoa học để đưa ra dự đoán hơn là bạch tuộc Paul (con vật từng dự đoán chính xác rất nhiều trận đấu tại VCK World Cup 2010 trên đất Nam Phi). Tôi là một người Anh nên tôi sẽ cổ vũ hết mình cho các cầu thủ của đất nước mình”, Hawking hóm hỉnh cho biết.
![]() |
![]() |
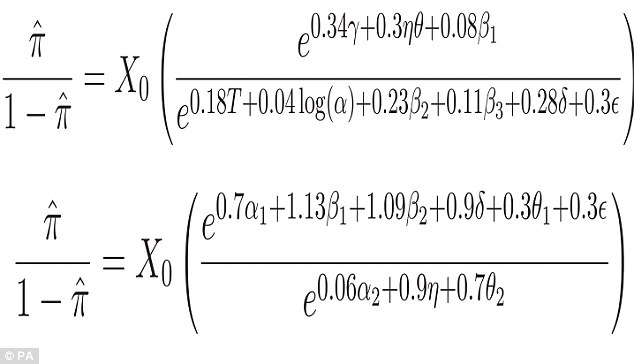
| Công thức chiến thắng mà Hawking tìm ra cho tuyển Anh. |
Để có thể đưa ra những thông tin trên, Stephen Hawking đã phải mất một tháng tìm hiểu về những màn trình diễn của Tam sư trong lịch sử World Cup. Tuy nhiên, ông Hawking cũng cho rằng cuộc chinh phục Cúp vàng thế giới năm nay của tuyển Anh còn phụ thuộc rất nhiều vào yếu tố thời tiết và khí hậu nóng ẩm ở Brazil.
Theo tính toán của Hawking, nếu nhiệt độ tăng lên 5 độ thì cơ hội lên ngôi vô địch của thầy trò Hodgson giảm xuống 59%.
Stephen Hawking dựa trên các dữ liệu thống kê của tuyển Anh tại World Cup để tìm ra công thức chiến thắng cho Tam sư:
![]() |
![]() |
![]() |
![]() |
![]() |







