Chiều 20/3, hơn 62.000 học sinh lớp 12 của Hà Nội tham gia khảo sát môn Toán.
Nhằm giúp các em chuẩn bị tốt nhất cho kỳ thi THPT quốc gia 2017, Sở GD&ĐT Hà Nội tổ chức thi và ra đề tương tự như trong kỳ thi sắp tới.
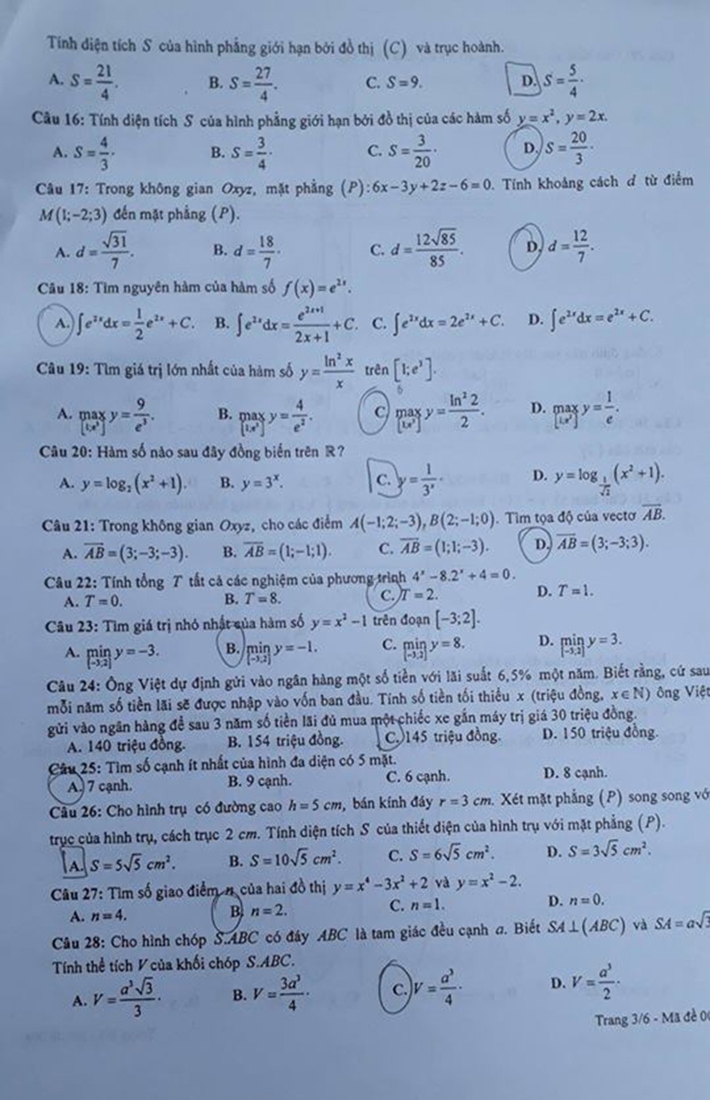
Thí sinh làm bài trong 90 phút. Đề bài bao gồm 50 câu với hình thức thi trắc nghiệm.
Đề bài như sau:
![]() |
![]() |
![]() |
![]() |
![]() |
![]() |
Thạc sĩ Nguyễn Bá Tuấn, giảng viên ĐH Công nghiệp Hà Nội, nhận định đề dài, học sinh khó có thể làm hết 50 câu trong 90 phút.
Giáo viên này đánh giá cấu trúc đề tương tự hai đề minh họa do Bộ GD&ĐT đưa ra trước đó, bao gồm 6 chuyên đề của lớp 12 là hàm số, mũ logarit, tích phân, số phức, hình học không gian cổ điển, hình Oxyz. Đề cũng có một số câu liên quan khái niệm ở lớp 10 và lớp 11.
Bên cạnh đó, phần hàm số và tích phân yêu cầu học sinh nắm rất vững định nghĩa và ứng dụng của các phần đó (đã được trình bày trong sách giáo khoa). Đề có nhiều câu liên quan đồ thị và sự biến thiên của hàm số, yêu cầu học sinh phải được luyện tập nhiều.
Thầy Bá Tuấn dự đoán nhiều học sinh không làm tốt hai câu về khối đa diện vì các em ít chú ý đến phần kiến thức này. Nam giáo viên cũng đánh giá các câu hỏi thực tế xuất hiện nhiều nhưng mức độ không quá khó. Tuy nhiên, các em vẫn mất nhiều thời gian cho câu này.
Theo thầy Tuấn, phần khó của đề nằm ở câu hỏi về tính biểu thức liên quan tích phân. Nó yêu cầu học sinh tìm được công thức tổng quát rồi mới thay các giá trị cụ thể ở đề bài đưa.
Thạc sĩ Nguyễn Bá Tuấn nhận định với dạng đề thi này, học sinh có thể hoang mang một chút vì không đủ thời gian để làm. Phổ điểm chung sẽ rơi vào khoảng 6-7 điểm.
Thầy khuyên các em cần học kỹ và bám sát sách giáo khoa, đồng thời tiếp cận các phương pháp làm nhanh để xử lý bài toán nhanh hơn.
Ngoài ra, thí sinh cần trang bị cho mình hệ thống công thức đủ rộng nhằm có thể sử dụng nó làm nguyên liệu để xử lý nhanh hơn khi gặp các bài có dạng quen thuộc.
![]() |
| Lịch thi khảo sát của học sinh lớp 12 ở Hà Nội. |
Ngày 20/3, 62.406 học sinh lớp 12 của Hà Nội tham gia khảo sát tại 141 điểm thi. Đây là đợt khảo sát nhằm giúp học sinh thủ đô làm quen kỳ thi THPT quốc gia 2017.
Sáng nay, thí sinh làm bài môn môn Ngữ văn, thời gian 120 phút, chiều thi Toán với hình thức trắc nghiệm trong 90 phút.
Ngày mai, các em làm bài thi tổ hợp Khoa học tự nhiên buổi sáng, chiều thi ngoại ngữ. Ngày 22/3, học sinh làm bài tổ hợp Khoa học xã hội buổi sáng.






