Bạn có thể chuyển sang phiên bản mobile rút gọn của Tri thức trực tuyến nếu mạng chậm. Đóng

Gợi ý đáp án môn Toán kỳ thi vào lớp 10 ở TP.HCM

Giáo viên cho rằng đề Toán trong kỳ thi tuyển sinh lớp 10 năm 2023 của TP.HCM gia tăng độ khó nhẹ so với năm ngoái.

Thí sinh xem đề thi môn Toán, kỳ thi tuyển sinh lớp 10 công lập năm học 2023-2024 ở TP.HCM tại đây.

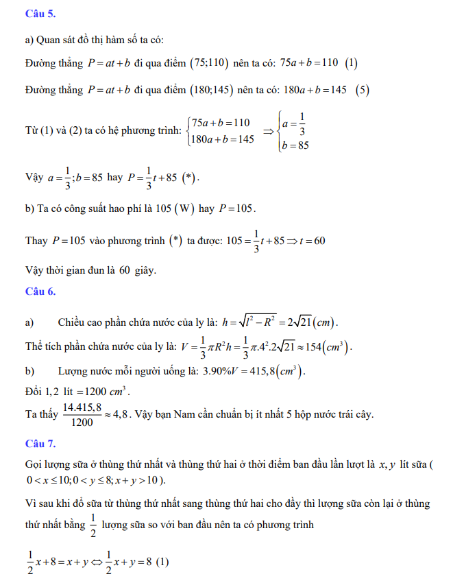
Gợi ý đáp án do giáo viên tại HOCMAI thực hiện:

Goi y dap an anh 1
Goi y dap an anh 2
Goi y dap an anh 3
Goi y dap an anh 4
Goi y dap an anh 5
Goi y dap an anh 6

Đến sáng 7/6, những thí sinh chỉ dự thi vào lớp 10 công lập, không đăng ký xét tuyển lớp chuyên hay tích hợp ở TP.HCM đã hoàn thành môn thi cuối cùng.

Giáo viên đánh giá đề thi Toán năm nay của Sở GD&ĐT TP.HCM giữ ổn định về cấu trúc so với năm 2022-2023 đồng thời tăng nhẹ độ khó trong các yêu cầu về kiến thức và kỹ năng.

Đề thi gồm 8 bài toán lớn, có tính ứng dụng thực tế cao, tiệm cận với xu hướng đánh giá năng lực. Mỗi bài gồm nhiều ý nhỏ với cấu trúc điểm ổn định và được sắp xếp theo thứ tự từ dễ đến khó.

Nội dung đề thi nằm trong chương trình THCS và không chứa kiến thức tinh giản của Bộ GD&ĐT. Hầu hết câu hỏi trong đề thi đều là dạng bài quen thuộc, tương tự đề thi của những năm gần đây.

Riêng bài số 7 là bài tập đánh giá khả năng đọc hiểu, lập luận và tư duy logic của thí sinh và đây là xu hướng tất yếu nhằm đánh giá năng lực của học sinh.

Cụ thể, câu 1, 2 có dạng thức quen thuộc, ở mức cơ bản, thí sinh có thể hoàn thành tốt. Bài số 2 liên quan đến ứng dụng của định lý Vi-et đã tăng về độ khó so với năm 2022-2023, đòi hỏi thí sinh cần thực hiện các biến đổi để áp dụng định lý.

Câu 3 là dạng bài cho biểu thức biểu diễn mối quan hệ giữa các đại lượng, có yếu tố thực tiễn (mối liên hệ giữa chiều cao, cân nặng và giới tính). Thí sinh cần đọc hiểu các dữ kiện trong đề bài để tìm được hướng làm bài. Dạng toán đề bài cho sẵn công cụ và công thức tính, thí sinh chỉ cần hiểu và áp dụng công thức để giải toán mà không cần phải ghi nhớ.

Theo đánh giá của giáo viên, đây là xu hướng ra đề hiện đại, giảm bớt sự ghi nhớ về mặt công thức mà coi trọng kiểm tra tính tư duy và kỹ năng đọc hiểu. Độ khó của câu hỏi này tương tự năm 2020 - giai đoạn trước dịch Covid-19. Câu hỏi cũng không yêu cầu quá nhiều về kỹ năng đọc hiểu và phân tích đề bài.

Câu 4 là câu hỏi có tính thực tế. Thí sinh chỉ cần đọc kỹ và phân tích các dữ kiện của đề bài là có thể hoàn thành. Ngoài ra, từ các dữ kiện đã cho của đề bài, thí sinh cần lập luận chặt chẽ để rút ra được phép tính đúng, từ đó rút ra kết luận của bài toán.

Câu 5 là dạng bài thực tế có liên quan đến hàm số bậc nhất (tương tự bài 5 của đề thi năm 2022). Các dữ kiện đề bài đưa ra rất cụ thể và tường minh. Vì vậy, các thí sinh chỉ cần nắm vững kiến thức về hàm số bậc nhất là dễ dàng tìm ra được kết quả của bài toán.

Câu 6 là bài toán về hình học không gian. Trong ý a, đề bài cho sẵn các công thức và thí sinh chỉ cần áp dụng đúng công thức là tìm ra kết quả. Tuy nhiên, ý b đòi hỏi học sinh cần đọc kỹ các dữ kiện, xác định chính xác các thông số và công thức cần áp dụng để tìm ra kết quả của bài toán.

Câu 7 là bài toán nhằm đánh giá khả năng đọc hiểu và tư duy logic của thí sinh. Tuy đây là một dạng bài không mới (giải bài toán bằng cách lập hệ phương trình) với học sinh, để giải quyết được bài toán này, thí sinh phải có tư duy rõ ràng, mạch lạc, khả năng phân tích, lập luận tốt.

Câu 8 là dạng bài quen thuộc liên quan đến tứ giác nội tiếp, các bài toán chứng minh vuông góc và thẳng hàng.

Nhìn chung, giáo viên đánh giá cấu trúc đề thi năm 2023-2024 hướng đến đánh giá năng lực toàn diện của người học và có tính thời sự. Đề bài dài nhưng khá hợp lý. Đề thi đảm bảo về cấu trúc và độ khó của câu hỏi, phù hợp với thực tế học tập của học sinh và có độ phân hóa tốt.

Những cuốn sách dành cho người đứng trước cánh cửa nghề nghiệp

Mục Giáo dục giới thiệu đến bạn đọc một số cuốn sách về chủ đề nghề nghiệp, hướng nghiệp, dành cho những bạn trẻ đang băn khoăn trước cánh cửa nghề nghiệp hay người trưởng thành quan tâm đến sự biến đổi nghề nghiệp trong xã hội hiện đại.

Chiến đạo giống cuộc đối thoại, gợi mở các câu hỏi của cuộc đời, giúp người trẻ chủ động định hướng nghề nghiệp, kiến tạo tương lai.

Eight - 8 cách làm chủ trí thông minh nhân tạo: “Đa số công việc mà công viên chức đang phụ trách cuối cùng đều sẽ bị thay thế bởi trí thông minh nhân tạo", cuốn sách này sẽ giải đáp câu hỏi đó.

Đề Toán kỳ thi tuyển sinh lớp 10 ở TP.HCM

Sáng 7/6, học sinh TP.HCM làm bài thi môn Toán vào lớp 10. Đề thi ở dạng tự luận, thời gian làm bài là 120 phút.

Thái An

Bạn có thể quan tâm