Câu 1: Trước khi có những trận sóng thần hay siêu bão ập đến thì khu vực ven biển có số lượng vụ tai nạn giao thông và số vụ tự tử tăng lên. Có thể lý giải nguyên nhân này phần lớn do...?
A. Thời tiết khó chịu
B. Ảnh hưởng của sóng hạ âm
C. Tầm nhìn hạn chế
D. Ảnh hưởng của sóng siêu âm
Hướng dẫn:
Sóng hạ âm có tốc độ di chuyển rất lớn và thường đi kèm các những thiên tai. Chúng vào đất liền trước các trận sóng thần hay siêu bão ngoài biển.
Sóng hạ âm có tần số rất thấp và dưới 16 Hz. Tuy tai con người không thể cảm nhận được sóng hạ âm, cơ thể chúng ta lại cảm nhận được. Ví dụ như tim dao động với tần số 5 Hz, nội tạng từ 4-8 Hz, đầu 8-12 Hz.
Gặp sóng hạ âm cùng tần số sẽ xảy ra hiện tượng cộng hưởng, khiến cho các cơ quan chức năng của cơ thể dao động vượt ra khỏi mức cho phép dẫn đến nguy hại như gây ra cảm giác lo sợ, chán nản, bối rối, tức giận... Điều này làm cho số vụ tự tử, đột quỵ và tai nạn giao thông tăng lên.
Đáp án: B.
A. giảm âm sắc
B. giảm mức cường độ âm
C. giảm âm thanh
D. tăng cường độ âm
Đáp án: B.
A. 100
B. 0,01
C. 1000
D. 0,001
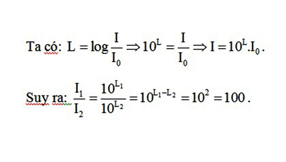
Hướng dẫn:
![]() |
Đáp án: A.
Câu 4: Tầng ôzôn đang bị mỏng dần dẫn đến nguy cơ gây hại đến sức khỏe con người và sinh vật trên Trái Đất như gây ung thư da...
Nguyên nhân chính của giảm sút ôzôn là sự hiện diện của các khí gốc có chứa clo (trước nhất là các CFC và các hợp chất clo với cacbon liên quan) bị phân giải khi có một bức xạ trong Mặt Trời tác động tạo thành các nguyên tử Clo là chất xúc tác phân hủy ôzôn. Bức xạ đó là gì?
A. Ánh sáng đỏ
B. Tia hồng ngoại
C. Tia tử ngoại
D. Ánh sáng vàng
Đáp án: C.
Câu 5: Dùng vôn kế khung quay để đo điện áp xoay chiều thì vôn kế đo được gì?
A. Không đo được
B. Giá trị tức thời
C. Giá trị cực đại
D. Giá trị hiệu dụng
Vôn kế khung quay hoạt động dựa trên lực từ tác dụng, kim của vôn kế thay đổi theo chiều của dòng điện.
Trong mạch điện xoay chiều, dòng điện thay đổi chiều liên tục nên không thể dùng vôn kế khung quay đo điện áp xoay chiều được.
Đáp án: A.
Câu 6: Điện kế nhiệt hoạt động dựa trên tác dụng của gì?
A. Hiệu ứng Jun - Lenxơ
B. Lực tĩnh điện
C. Mômen từ
D. Hiện tượng cảm ứng điện từ
Đáp án: A.
Câu 7: Khi đến mỗi bến xe, xe buýt chỉ tạm dừng nên không tắt máy. Hành khách trên xe nhận thấy thân xe dao động. Dao động của thân xe buýt là gì?
A. Dao động tự do
B. Dao động duy trì
C. Dao động cưỡng bức
D. Dao động tắt dần
Đáp án: C.
Câu 8: Cùng với sự phát triển của khoa học kỹ thuật, công việc rửa những linh kiện chính xác ngày càng quan trọng. Ta không thể rửa sạch những linh kiện tinh vi và phức tạp này bằng những dụng cụ rửa thông thường như khăn giấy hay bàn chải. Trong thực tế, loại sóng nào đã được ứng dụng để giải quyết vấn đề này?
A. Sóng điện từ
B. Sóng siêu âm
C. Sóng hạ âm
D. Sóng viba
Hướng dẫn:
Trong thực tế, người ta đưa các thiết bị cần rửa ngâm trong các chất lỏng như xà phòng rồi sau đó đưa sóng siêu âm vào.
Sóng siêu âm có tần số rất lớn nên khi sục vào nước sẽ nhanh chóng tạo ra và làm mất đi nhiều bọt khí nhỏ li ti một cách liên tục.
Những bọt khí này kết hợp với xà phòng như tạo thành vô số bàn chải nhỏ vô hình, tẩy rửa mỗi góc cạnh của phụ tùng linh kiện một cách chính xác và cẩn thận.
Đáp án: B.
Câu 9: Tia tử ngoại được dùng để làm gì?
A. Tìm khuyết tật bên trong các sản phẩm bằng kim loại
B. Chụp điện, chiếu điện trong y tế
C. Chụp ảnh bề mặt Trái Đất từ vệ tinh
D. Để tìm vết nứt trên bề mặt sản phẩm bằng kim loại
Hướng dẫn:
Tia tử ngoại được ứng dụng để tìm vết nứt trên bề mặt sản phẩm bằng kim loại.
Tia X được ứng dụng để tìm vết nứt bên trong sản phẩm bằng kim loại.
Đáp án: D.
Câu 10: Bài hát “Cầu vồng sau mưa” của Cao Thái Sơn lấy ý tưởng của hiện tượng nào sau đây?
A. Nhiễu xạ ánh sáng
B. Tán sắc ánh sáng
C. Giao thoa ánh sáng
D. Khúc xạ ánh sáng
Đáp án: B
